Nyitólap
ROVÁSÍRÁS

A magyar rovásírásról - rövid összefoglaló

A rovásírás egy jellegzetes, vonalas, többnyire egyenes szárú betűkből álló régi írásfajta, amely minden íráshordozóra, (kő, fa, fém, pergamen, papír, selyem, stb.) alkalmazható. A rovásírás szó tehát főfogalmat jelöl, ez alá tartozik a rovás fogalma, amelyről akkor beszélünk, ha az írás faragással, véséssel, karcolással történik, tehát ennek során az íráshordozó felületébe mélyítjük a betűket. Ugyancsak a rovásírás, mint főfogalom alá tartozik a számítógépes rovásírás fogalma is... Megtekintés

 

A magyar rovásírás legfontosabb szabályai

Megtekintés
 

A magyar számrovásról - rövid összefoglaló

A rovás betűk és a rovás számjegyek alakja szépen illik egymáshoz, szinte formatervezett egységet alkotnak.
A számrovás jegyei szintén jobbról-balra haladnak.
A rovás számjegyeket úgy írjuk le sorban, ahogyan kiejtjük
... Megtekintés

 

Módszertani Útmutató a magyar rovásírás tanításához

A módszertani Útmutató a magyar rovásírás tanításához a LETÖLTÉSEK rovatban található. Megtekintés

 

Friedrich Klára: Tatárlaka - kutatástörténet

A Tatárlakai leletekről már rengeteg írás jelent meg (főként a korongról, összefüggéseiből teljesen kiragadva), hogy elengedhetetlen egy időrenden alapuló kutatástörténet közreadása... Megtekintés

 

Egy bronzkori csésze a Sárgaföldes gödörből...

Az Érmihályfalvi csésze feliratának megfejtési kísérlete
A csésze az érmihályfalvi Dr. Andrássy Ernő Városi Múzeum gyűjteményében található. Először Dr. Madarassy Enikő Svédországban élő fizikustól, Torma Zsófia régésznő életének kutatójától, majd Toroczkai L. Károly érmihályfalvi műkedvelő régésztől, helytörténeti gyűjtemény tulajdonostól kaptam fényképeket a nagy jelentőségű leletről.... Megtekintés

 

Zoltán Sándor unitárius lelkész által festett asztal, láda és szék rovásfeliratairól

Bara Júliától (PhD, művészettörténész) jutottak el hozzám fényképek egy erdélyi festett bútor asztalának rovásfeliratáról, Czirják Károly maroshévízi helytörténész közvetítésével... Megtekintés

 

ROVÁSÍRÁSUNK EREDETE SZKÍTA-HUN ÁBÉCÉK ALAPJÁN

Rovásírásunk betűinek eredetéről a 19. század végétől napjainkig a Magyar Tudományos Akadémia által elismert, nyelvészettel vagy történetírással foglalkozó egyetemi tanárok, kutatók álláspontja tömörítve a következő... Megtekintés

 

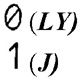
LY, J és I a magyar rovásírásban

Ebben az írásban azt a feltételezésemet szeretném példákkal alátámasztani, hogy rovásírásunkban eredetileg nem volt külön LY és J ... Megtekintés
 

D-ből GY rovásírásunkban

A rovásírásban a GY betű a D továbbfejlesztése egy vízszintes vonal hozzáadásával. A latin betűs írásban a viszont a GY-t a G betűhöz illesztett Y-al jelzik... Megtekintés
 

A Forrai-féle betűsor használatáról

Írásom arra a kérdésre szeretne választ adni, hogy miért a Forrai féle rovásírás betűsor a legalkalmasabb napjainkban történő használatra... Megtekintés
 

Újabb adatok a két 'K' használatához

Részlet Friedrich Klára-Szakács Gábor Kőbe vésték, főbe rótták... című kötetéből: Megtekintés vagy Letölthető PDF állomány
Részlet Friedrich Klára-Szakács Gábor Tászok-tetőtől a bosnyák piramisokig című kötetéből: Megtekintés vagy Letölthető PDF állomány
Részlet Friedrich Klára: Megfejtések könyve című kötetéből... Megtekintés

 

A bogárjelekről

Hosszú évek óta foglalkozom őseink írásának, a rovásírásnak kutatásával és tanításával. Így a gyakorlatban is meggyőződhettem tökéletességéről. E tökéletességet csupán két apró szépséghiba zavarja. Az egyik a két K használatának rejtélye, erre a Turán 2001. április-májusi számában megjelent írásomban kerestem megoldást. A másik a mássalhangzós csoportjelek, az un. "bogárjelek" kérdése...Megtekintés

 

Műveletek rovásszámokkal


Iskolásoknak és érdeklődő lelkületű felnőtteknek
Ki állítja, hogy a rovásszámjegyekkel nem lehet számtani műveleteket végezni?... ...Az ősi írások nem helyiértékes számrendszereivel, mint például az ősi magyar rovásírás számaival, az etruszk vagy a római számokkal, természetesen ugyancsak kellett - és ebből következően lehetett - összeadni, kivonni.
.. Megtekintés
 

Zárt E és "mély" TY

I. Van-e "zárt e" hangot jelző betű a magyar rovásírásban?
II. Van-e "mély" hangrendű TY hangot jelző betű a magyar rovásírásban?... Megtekintés
 

Elhagyható-e a rovásírásban a H betű a szavak elején?

Többen feltették a címben szereplő kérdést, válaszom a következő: ... Megtekintés
 

Van-e Q, X, Y a siménfalvi rovásbejegyzésekben?

A székely-magyar rovásírás magyar nyelvünk hangjainak lejegyzésére tökéletesen alkalmas. Van azonban néhány hang, amely nem tartozik a magyar hangkészletbe, ezért nincs is rá rovásjelünk, rovásemlékeinkben nem fordulnak elő. Ezek a Q, X, Y és a W... Megtekintés

 

Megfejtések

01 Balás Gábor rovásírásos képrejtvénye Megtekintés
02 Az Alsószentmihályi Felirat Megtekintés
03 Csíkmadaras templomának rovásjelei Megtekintés
04 Szádelői kőfelirat Megtekintés
05 A kézdivásárhelyi református temető rovásfelirata Megtekintés
06 A ladánybenei edényfelirat Megtekintés
07 A torjai cseréptöredék olvasatai Megtekintés
08 Avar edény a Budapesti Történeti Múzeumból Megtekintés
09 Kassai István mesterjegye Megtekintés
10 A Homoródkarácsonyfalvi Felirat néhány olvasata Megtekintés

11 Csoda láda a Székelyudvarhelyi Múzeumban Megtekintés
12 A Somogyi Kövekhez tartozó járom feliratai Megtekintés
13 Egy mángoló "olvasása" Megtekintés
14 A radocsányi kőbalta rovásfelirata Megtekintés
15 A lévai vár rovásírásos alaprajzának megfejtése Megtekintés
16 A Battonyai Gyűrű megfejtései Megtekintés
17 A Berekböszörményi Gyűrű Megtekintés
18 Délvidéki, vajdasági pecsétgyűrű megfejtése Megtekintés
19 Rovásírásos fénykép 1903-ból Megtekintés
20 Az Orgondaszentmiklósi Övcsat olvasata Megtekintés

21 A Tokaj környéki pala medál rovásfelirata Megtekintés
22 Az ISA ősfogalom fennmaradása... Megtekintés
23 Kálmán király varázsgyűrűje... Megtekintés
24 A csíkszeredai székelykapu felirata Megtekintés
25 A Jánoshidai Tűtartó néhány megfejtése Megtekintés
26 Az énlakai unitárius templom feliratának... Megtekintés

A Megfejtések könyvében további 44 rovásemlék megfejtései olvashatók, pontos adatokkal és hivatkozásokkal.

 

A zilahi rovásfeliratos Tuhutum emlékmű története

A tartalomból
1. Két emlékmű Zilahon 2. oldal
2. Somogyi, a fekete bárány 3. oldal
3. A nagy hármas: Fadrusz, Király, Tar 5. oldal
4. Az emlékmű avatása 8. oldal
10. A Tuhutum emlékmű romjai 32. oldal
11. Feltámadás - a turul visszaszáll 33. oldal

Megtekintés

 

A BÁNMONOSTORI TÖRPE OSZLOP ROVÁSFELIRATÁNAK MEGFEJTÉSI KÍSÉRLETE - kiegészítésekkel, hozzászólásokkal

A székesfehérvári Szent István Király Múzeum Királyok és Szentek
Az Árpádok kora c. kiállításán (2022. 03. 18-2022. 06. 15.) fényképeket készített Dr. Somos Zsuzsanna ezen írás végén látható rovásfeliratos oszlopról. A képeket elküldte nekem megfejtésre, elolvasásra
...
Megtekintés

 

Újabb rovásírásos korong Tatárlakán és egy ráadás...

A jó hír, hogy előkerült egy újabb rovásírásos korong és egy csont függő Tatárlakán, erről szeretnék itt röviden beszámolni. ... Megtekintés

 

Aracs rovásai

Az Aracs-i romtemplom területe azon helyek egyike, ahova mindig visszavágyik az ember, hogy Isten lábnyomába léphessen, mint az énlakai vén hársfa alatt, vagy a lévai vár romjai között és még sok más helyen a Kárpát-medencében... Megtekintés

 

Az új NAT tervezet 2018 és a rovásírás

A székely-magyar rovásírás Magyarország művelődéstörténetének fontos része és egyúttal a hagyományőrzés nemes formája. Méltó rá, hogy nevesítve is bekerüljön az új tantervbe. Bár nem nevesítve, de 2012-es tanterv lehetőséget biztosított a Hon és népismeret tantárgyon belül az oktatására... Megtekintés

 

Az Old Hungarian rovás betűkészlet új szabványszáma

Az Old Hungarian rovás betűkészlet új szabványszáma... Megtekintés

 

Aknay János a rovásírásról

Aknay János festőművészt többször említettem a rovásírással kapcsolatban. A Magyar Hírlap 2019. február 23-i számában ( papír újság, nem világhálós!) Petrovics Gabriella beszélget vele (részlet)... Megtekintés

 

Rováslelet a Tisza csongrádi holtágából

Árgyelán Szabin a kecskeméti Hírös Rovókör egyik alapító tagja... ...2015-ben aTisza csongrádi holtágában, a Villan-tó Horgász és Szabadidő Park mellett balra lévő tanya stégjétől kb. 15 m-re beljebb az iszapban lelt egy fadarabkát... Megtekintés

 

Árpádkori ereklyetartó kereszt két rovásjele

Egy 109 évvel ezelőtt megjelent Archaeologiai Értesítőben fedeztem fel a rajzot, melynek aláírása: ÁRPÁDKORI EREKLYETARTÓ BRONZKERESZT KRISZTUS BEVÉSETT KÉPÉVEL. További ismeretet nem tudunk meg a keresztről az Értesítőből ... Megtekintés

 

A Jézus kápolna rovásjelei

Székelyföldnek sok csodája van, de ezek közül is kiemelkedik Székelyudvarhely déli bejáratánál található Jézus kápolna. ( Rákóczi u. Medence u. sarok) Lakatos István csíkkozmási plébános és krónikás (1702) "Jézus házának nevezett Jézus neve kápolnaként" említi... Megtekintés

 

Tászok-tető: biztonságban a kövek

Örvendetes, amikor van foganatja a figyelem felhívó újságírásnak. 2017. áprilisában hallottuk Székelyföldön, hogy a sok jelet hordozó és emiatt művelődéstörténetileg rendkívül értékes Tászok-tetői kövek a gyergyószentmiklósi Tarisznyás Márton Múzeum épületéből kikerültek az udvarra, minden védelem nélkül... Megtekintés

 

Idegen betű Tomory Zsuzsa kopjafáján

Tomory Zsuzsa magyarság kutató 2016 novemberében hunyt el, honlapunk KITEKINTŐ rovatában olvashatnak róla a megemlékezést. Nagyon megörültem, amikor a Magyarok Világszövetsége Hírlevelében olvastam, hogy Zsuzsának Csíksomlyón állítanak idén kopjafát.... Megtekintés

 

Megfejtés és olvasat különbsége

Olvastam olyan javaslatot, mely szerint a rovásírók ne a megfejtés, hanem helyette az olvasat szót használják. A javaslatot tevő azonban nincs tisztában a megfejtés szó fogalmával. Ez a szó ugyanis a folyamatot is jelenti, a munkát a megfejtendő anyaggal, amelynek során az olvasat kialakul. ... Megtekintés

 

A székely-magyar rovásírás kőkori előzményei...

A magyar rovásírás betűivel alakilag azonos jeleket már a kőkortól ismerünk a Kárpát-medencében. Ez az alapja annak a feltételezésemnek, hogy a magyarság kárpát-medencei ősnép. Ezt Magyar Adorján a néprajzi kutatások alapján vetette fel, jómagam az írásemlékekkel - melyek egyúttal nyelvemlékek is - igyekszem alátámasztani. Ebben a dolgozatban ezeknek csupán a töredékét van hely bemutatni... Megtekintés

 

Múltunk a bódorgó köveken

Székelyföldön mindig érik az embert kellemes meglepetések. Ezek közé tartozik, hogy gyakran bukkanhatunk a magyarság ősi, rovásírásnak nevezett emlékeire. Maroshévíz határában, a helyiek szerint egykor Attila várának helyszínt adó dombon székely-magyar betűkkel vésett köveket találtak ... Megtekintés

 

Pötyi rovás kirakó

Ha egy takarékos tanár vagy szülő megőrizte még a "Pötyi" játékot, akkor a rovásírás oktatásnál nagyon jól tudja használni. Ha több is van belőle, akkor a tanár a szakkörre elkészíti a mintát és máris versenyezhetnek a tanulók, ki tudja előbb kirakni. Kéz és finommozgás ügyesítésre, szem-kéz együttmozgás, figyelem, türelem fejlesztésére szintén nagyon alkalmas már óvodás korban is.

 

Rovásírás, a magyar hagyaték

A világban mesterségesen terjesztett, egységesítésnek is nevezhető globalizáció ellenében a harc csupán egyetlen eszközzel vehető fel, a hagyományőrzéssel. Ezt a magyarság számára a rovásírás jelenti, amely sokkal mélyebb gyökerekkel rendelkezik, mint amit a "hivatalos tudomány" elismer... Megtekintés

 

Gelencei templom - még egy átjavított rovásemlék

Gelence székelyföldi település Kovászna megyében. A gelencei, Szent Imréről elnevezett római katolikus templom rovásbetűiről, köztük a szentségtartó fülke átvésett jeleiről több helyen írtam, legutoljára a 2013-ban megjelent Megfejtések Könyve I. kötetében... Megtekintés

 

Gazdáné Olosz Ella alkotása

Gazdáné Olosz Ella textil (szövet, kelme, szőtt anyag) művész és néprajzkutató alkotása Kőrösi Csoma Sándor emlékére, rovásírással. 1984-ben készült, mérete: 165x161 cm.
Baloldalon, fent: KŐRÖSI CSOMA SÁNDOR. Mivel Gazda József csak ezt a feliratot tudta elolvasni, Kovásznán megkért a többi megfejtésére.
A KŐRÖSI CSOMA SÁNDOR alatt, alulról felfelé haladva: EMLÉKÉRE. A jobb felső sarokban 3 rovásbetű: G, O, E, azaz Gazdáné Olosz Ella. A bal alsó sarokban 4 rovásbetű, jobbról balra É, S, A és SZ vagy Í vagy D Erre a betűcsoportra egyelőre nincs olvasatom.
Olosz Ella főként Telegdi János 1598-as betűit használja a giesseni és hamburgi másolat alapján. R-ként a szár nélküli R-t, mely a botnaptáron is előfordul.
Mivel az általam készített fénykép túl sötét lett, ezt a képet Gazda Józsefnek köszönöm.
Írta: Friedrich Klára

   

Olosz Ella szobra
a Fő téren

 

Rovásírásos csontlemezek kerültek elő az M43-as autópálya építése során

Az egyik rovásírásos csontlemezről Terdik Tamás környei rovásíró levelezőtársamtól értesültem, aki elküldte rajzát a jelekről és azok általa feltételezett hangértékeit... Megtekintés

 

Rovás ábécé



Horváth Margitkától, Horváth Lajos lányától kaptam, köszönet érte.
Friedrich Klára

 

Madéfalvi rovásfelirat

Bizonyára a rovásírók és nem rovásírók közül sokan megállnak a Madéfalvi Emlékmű előtt, hogy emlékezzenek a kegyetlen magyarirtás áldozataira... Megtekintés

 

Rovás írások és kiállítások

A rovásírás kutatásához tartozik a múzeumok, kiállítások, könyvtárak, helyszínek, látogatása. Kutató nem attól lesz valaki, hogy karosszékben ülve a világhálón "kutat", majd saját neve alatt közli a "dolgozók" eredményeit, fényképeit... Megtekintés

 

Rovásírásos úrasztali edény

A Confessio, a Magyarországi Református Egyház folyóirata 2003/1. számában egy rovásírók számára rendkívül ígéretes cikk jelent meg. A cikket dr. Pápai Szabó György református lelkésztől kaptam fényképek nélkül, a cikk írója: dr. Tenke Sándor, teológus, református lelkész... Megtekintés

 

Rovásos kő a Mecsekben

2015 februárjában kaptunk levelet Resitcky Gergely környezetmérnöktől, melyhez két fényképet is mellékelt. Nagyon megörültünk ezeknek, mert egy szép eddig ismeretlen rovásfeliratot és egy rovásos névjelet hordozó nagy kő fényképei voltak. Gergely a feliratos követ a Mecsekben vette észre... Megtekintés

 

Bolyai János és a rovásírás

Dr. Marácz László nyelvész, az Amszterdami Egyetem tanára hívta fel a figyelmemet még 2009-ben arra, hogy Bolyai János a rovásírással is foglalkozott. Továbbá két lapot is kaptam tőle, melyeknek eredetije a Marosvásárhelyi Teleki-Bolyai Könyvtárból származik. Köszönet ezekért... Megtekintés

 

A romonyai ingujj hímzésének olvasata

2014 januárjában kaptam levelet Zsálig Nórától, a rovásírás és a népművészet nagy tisztelőjétől, akinek ajándékboltja van Komlón. Egy gyönyörű baranyai hímzésminta fényképét küldte el, melyben rovásjeleket sejtett. ... Megtekintés

 

Hogyan élt és halt meg Latinovits Zoltán?

Tarics Péter: (I)gazság és lehetőség között - Hogyan élt és halt meg Latinovits Zoltán? című, 2013-ban megjelent könyvében vettem észre, hogy a mellékelt képen, az ágydeszkán rovásírás van. Balról jobbra (mivel az Á arca jobbra néz): Á, Í, V, B, K.


Latinovits Zoltán mögött folytatódik, vagy kezdődik a szöveg, de sajnos takarásban van.
Köszönjük Tarics Péternek a kitűnő könyv megírását és a ritka fénykép közkinccsé tételét.

Ugyancsak megköszönjük, ha a Szakács Gábort és engem folyamatosan lejáratni igyekvő, de ennek ellenére honlapunkból, könyveinkből, kutatásainkból, ötleteinkből élő néhány fős csapat nem sajátjaként tünteti fel ezt az észrevételemet is.
Friedrich Klára

 

Wass Albert könyvborító rovásírással 1947-ből

Wass Albert ismerte és nagyra becsülte a rovásírást, ez főként a Hagyaték című csodálatos könyvében mutatkozik meg. Nemrég került kezembe Turcsány Péter: Wass Albert, a boldog szomorú ember című könyvének első kötete. (Kráter Kiadó, Pomáz, 2008) A 146. oldalon örömmel vettem észre egy könyvborítón a rovás betűket. 1947-ben jelent meg a Te és a világ: tanítások útravalóul c. Wass Albert kötet a Magyar Betű sorozatban. A kézzel készített borítón rovásírással is szerepel a két szó: Magyar Betű.

Nem derül ki, hogy Wass Albert készítette-e a borítót, de igen valószínű, hogy ezek az ő betűi. Érdekesség, hogy a GY a függőleges szár nélkül jelenik meg, az A pedig a Székelyföldön gyakori forma, mely a Forrai ábécében az Á hang lejegyzésére szolgál. A könyvborítót a világhálón is megnézhetjük, ha beírjuk a keresőbe: Wass Albert: Te és az Isten-You Tube (a 33-43. másodperc között).
Friedrich Klára - 2014 szeptember 16.

 

Mokry-Mészáros Dezső rovásírásos kerámiáiról

Mokry-Mészáros Dezső (1881-1970) festőművész két szép, ráadásul rovásírásos kerámiájáról küldött megfejtést V. L. úr 2010 februárjában számítógépünkre, a következő megtisztelő kísérőlevéllel... Megtekintés

 

Kassák Lajos Villámlás című képéről

Kassák Lajos: Villámlás című, 1948 táján készített festményén rovásjeleket fedeztem fel. Mivel művészettörténész szerettem volna lenni, számtalan festményről gyűjtöttem fényképeket, adatokat, kiállítási füzeteket... Megtekintés

 

Rovásírásos viasztábla a székelyföldi Futásfalváról

A viasztáblák régi íráshordozók, feljegyzések, levelezések, oktatás céljaira már a Krisztus előtti időkben használták. Középső, mélyített részüket méhviasszal töltötték ki és "stílus"-sal karcolták be a betűket. Ennek az írószerszámnak az egyik vége hegyes, a másik vége lapos volt, ez utóbbi végével elsimították a betűket, ha új szöveget akartak írni. ... Megtekintés

 

Új rovásemlék került elő Maroshévíz környékéről!

Czirják Károly maroshévizi író, újságíró, helytörténész a szkíta-hun írást, közismert nevén, a rovásírást is szívügyének tartja. Több cikke jelent már meg a Honlevélben, a Magyarok Világszövetségének lapjában is. Azt teszi, amire mindenkit bíztatni szoktam, mindenütt figyeljenek fel régi karcolatokra, vésetekre, írásokra - fényképezzék le, rajzolják le, tegyék közzé, mielőtt lába kél... Megtekintés

 

A Rohonczi kódex, a Felsőszemerédi és a Csíkmadarasi rovásjelek rokonsága

A kódexet 1839-ben a rohonci Batthyány kastélyban Toldy Ferenc és Nagy Károly fedezte fel, majd a Magyar Tudományos Akadémia könyvtárába került. A mindmáig megfejtetlen írásról Fischer Károly Antal könyvének 1992-es kiadásában olvastam, azóta is gyűjtöm róla az ismereteket és ezekhez igyekszem magam is hozzátenni... Megtekintés

 

Nikolsburgi Ábécé: új felvetések

Jakubovich Emil, a Magyar Nemzeti Múzeum könyvtárának igazgatója 1933-ban vásárolta meg a Nikolsburgi Ábécé néven ismert rovásemlékünket. Jakubovich 1935-ben megjelent, A székely rovásírás legrégibb ábécéi című munkájából többek között megtudjuk, hogy a betűsort hordozó pergamenlapot Bartholomeus Anglicus XIII. századi angol minorita De proprietatibus rerum című művének egy XV. századi, gazdagon díszített nyomtatott példányának hátsó borítója elé kötötték be... Megtekintés

 

A Patakfalvi Biblia rovásbetűinek párhuzamai

A székelyföldi Patakfalviak nem Patakfalváról, hanem Énlakáról származnak, amely rovásírás szempontjából egy előkelő hely. De Patakfalva nevű település is van Székelyudvarhely közelében, ezt viszont az énlakai Patakfalviak alapították. Főhősünk, Patakfalvi Sámuel ősei székely lófők voltak és ő maga is az volt.... Megtekintés

 

Friedrich Klára: Tíz kérdés W. Barna Erika grafológushoz

"Amikor írsz, egyedi léted csodájával szembesülhetsz.
Amikor írsz, emberi életed legmagasabb rendű alkotófolyamatát élheted át."
(W. Barna Erika)
... Megtekintés

 

A kisunyomi kerámiatöredék írásjeleiről

Bevezető gondolat Károlyi Mária régésztől: "Az európai kőkorszak egyre gazdagodó jelvilága - melynek nem minden részletét ismerjük még - továbbra is a kutatók érdeklődésének tárgya marad... Megtekintés

 

Bözödújfalu rovásemléke

Néhány éve még az itt következő dőlt betűs sorokat írtam egy úti beszámolóban: "Utunk következő állomásának, Bözödújfalunak nincsen rovásemléke, de lehet, hogy volt. Ezt már soha nem fogjuk megtudni, mert a Ceausescu diktatúra alatt, a székely falvak tervszerű lerombolása idején, Bözödújfalut vízzel árasztották el... Megtekintés

 

A Szent Korona rovásjeleinek üzenete

A Magyar Demokrata hetilap 2010/24. számában jelent meg Bencsik András A Korona románca című írása. Ebben többek között a Szent Korona felülnézeti képe, a körbe foglalt kereszt és a magyar rovásírás betűi között talál párhuzamokat. Ezt az észrevételét szeretném alátámasztani néhány példával... Megtekintés

 

Megfejtői megjegyzések Somogyi Antal rovásírásos gyűjteményéhez

A magyar rovásírás megítélését hátrányosan befolyásolja, hogy csak kevés emléke maradt fenn, ezek is többnyire rövid szövegek. A fennmaradottak többsége sem kap megfelelő védelmet, megbecsülést és elpusztulnak, mint a Bögözi Felirat, vagy pusztulóban vannak, mint az énlakai, miközben azok a hivatalosságok, akik érdemben tehettek volna, tehetnének értük, néhány betű értelmezésén vitatkoznak többszáz oldalon, évtizedeken át.... Megtekintés

 

Régi kapcsolatok - Lepenski Vir és Vinca

A Két Hollós Könyvesbolt vezetői, Sárosi Zoltán és Edit által szervezett kirándulások a Tudást, a Megismerést, a szellem, a lélek épülését szolgálják. Május végén két olyan területre tartottunk velük, amelynek műveltségei időben igen távol esnek jelen korunktól, mégis kapcsolhatók a magyarsághoz és nem csak azért, mert területük a történelmi Magyarországhoz tartozott. A helyszín Délvidék, a jelenlegi Szerbia... Megtekintés

 

A görgénynádasi fatemplom rótt jeleiről

Gazda Józsefnek a Székely nép című újság 2011. 4. negyedévi 2. számának 8. oldalán megjelent, a székely ácsokkal kapcsolatos gondolatai indítottak arra, hogy közzétegyem ezt az írásomat. A Maros megyei, görgénynádasi fatemplom fába karcolt jeleiről megoszlanak a vélemények. Vannak, akik cirill betűknek tartják őket, jómagam ezzel szemben többségüket székely ácsok névjeleinek... Megtekintés

 

A Yarmouth-i rovásírásos kő

Új Skócia (Kanada) Yarmouth nevű helységében talált rovásírásos kőről a Tomory Zsuzsa által szerkesztett Magyarságtudományi Értesítő 3. számában (1998) olvastam először. Tomory Zsuzsa kereste meg a kővel kapcsolatos kérdéseivel a Yarmouthi Múzeum és Történelmi Kutató Intézet könyvtárát. 1996 december 14-én kapott választ, amelyben a kőre vonatkozó több közleményt ismertettek... Megtekintés

 

Róva tanulni

Indul a tanév és vele együtt indulnak az iskolákban a rovásíró szakkörök is. Vajon szükség van-e rájuk, segítenek-e orvosolni az oktatásban oly gyakori gondokat, mint az olvasási és szövegértési nehézségek vagy a figyelem hiánya? A Demokrata gyakorló tanárok véleményét kérdezte szerte a Kárpát-Hazában... Megtekintés

 

A székelyderzsi tégla rovásfelirata

"A Székelyudvarhelytől kb. 25 km-re levő Székelyderzs unitárius templomának gótikus ablaknyílásában 1929-ben Balázs András unitárius esperes rovásírásos téglát fedezett fel. A friss agyagba először bekarcolták a rovás jeleit, s azután kiégették."... Megtekintés
 

Rovásemlékek nyomában Székelyföldön

01. rész (PDF) Megtekintés
02. rész (PDF)
Megtekintés
03. rész (PDF)
Megtekintés
04. rész (PDF)
Megtekintés
05. rész (PDF)
Megtekintés
06. rész (PDF)
Megtekintés
07. rész (PDF)
Megtekintés
08. rész (PDF) Megtekintés
09. rész (PDF) Megtekintés
10. rész (PDF) Megtekintés
11. rész (PDF) Megtekintés
12. rész (PDF) Megtekintés

 

A Kárpát-medence legrégibb rovásírásos emléke

A Pilisben került elő hazánk eddigi legrégebbi rovásírásos emléke, a bajóti pálcavég. Képét Lambrecht Kálmán Az ősember c. könyvében (Dante Kiadás, 1931) fedeztem fel... Megtekintés
The Oldest Relic of Runic Writing in the Carpathian Basin
Translated by: Károly Bartha Read
 

Rovásírás és balkezesség

A rovásírás oktatása során megbizonyosodtam arról és előadásokon a hallgatóság soraiból is többen megerősítették azt, hogy a balkezeseknek könnyebbséget jelent őseink betűivel írni. Ennek elsősorban az az oka, hogy... Megtekintés
 

Rovásírás Mátyás király korában

Azt, hogy egy király, uralkodó, fejedelem mennyit tesz országáért, nem a pillanatnyi hatalom által befolyásolt krónikások és történészek döntik el, hanem népének emlékezete... Megtekintés
 

A Kárpát-medence, a bosnyák piramisok és Glozel jelrendszerének összehasonlítása

Az ősi magyar rovásírás a Kárpát-medencében alakult ki. Eddig megtalált legrégebbi emlékei: a Bajóti Jankovich barlang pálcavégén talált jelek 15 - 20.000 éves bolygatatlan rétegből származnak... Megtekintés
Comparison between the sign-systems of the Carpathian Basin, the Bosnian Pyramids and Glozel
The ancient Hungarian runic script developed in the Carpathian Basin. The oldest relics of this revealed until now are signs originating from... Read Translated by Piroska Nemes

Vergleich zwischen den Runenritzungen des Karpatenbeckens, der Bosnyáker Pyramiden und Glozel
Die vorzeitliche Ungarische Runenschrift entwickelte sich im Karpatenbecken. Die ältesten gefundenen Überreste : auf Kerbholz geritzte Zeichen, welche aus... Lesen Von Freunden ins Deutsche übersetzt.
 

Papok és tanítók a rovásírás fennmaradásáért

A magyarok elődeinek írásműveltsége a meghatározhatatlan ősidőkig nyúlik vissza. Dr. Zakar András, Mindszenty bíboros úr titkára írta "Az írás bölcsőjénél" c. művében, hogy " a rovásírás kialakulása évszázezernyi messzeség homályába vész."... Megtekintés
 

Kőkori játéktárgyak

Az Arany Tarsoly 2007 novemberi számában írtam arról, hogy a Phaisztoszi Korong egy 3600 éves gyermekjáték, amelyet a gyakorlatban is kipróbáltam és sokoldalúan működött. Ez természetes, hiszen a játék egyidős az emberiséggel... Megtekintés
 

"Játszani is engedd..."

A Phaisztoszi Korongról másképpen
Mint írást-olvasást is oktató tanárnak e felvétel alapján "ugrott be" a felismerés, hogy ez egy gyermekek számára készült játékos oktató-fejlesztő eszköz. A korong irodalmában elmélyedve azonban elbátortalanodtam, mert nem találtam olyant, amely megerősített volna elképzelésemben... Megtekintés
 

Rovásírásos lándzsavég...

A lándzsavégről Ferenczi Géza Székely rovásírásos emlékek c. könyvében (Erdélyi Gondolat Könyvkiadó, 1997) olvastam. A szerző 27 tárgyat, köztük a lándzsavéget a "Gyanús, hamis, tévesen székely rovásírásos szövegként számontartott és nem létező emlékek" c. fejezetben említ. A felsoroltak között azonban vannak olyanok, amelyekről nem szabad látatlanban ilyen határozottsággal elítélően nyilatkozni... Megtekintés
 

Még látható rovásemlékeink

Mivel itt a nyári szünet, az ősi írásunk iránt érdeklődőknek szeretnék néhány támpontot adni, hol láthatnak rovásírásos emlékeket. Sajnos, ezen nemzeti kincsünknek nincs olyan államilag megbecsült tárhelye, mint a római maradványoknak Aquincumban. Pedig a római köveken látható nagybetűs írás is ősi rovásírásunkból származik, ezt Forrai Sándor állapította meg először... Megtekintés
 

A kiskunhalasi rováspálcák az újabb adatok tükrében

Kiskunhalasi Rováspálcák sorsa megnyugtatóan rendeződött azzal, hogy a Thorma János Múzeumban kiállításra kerültek. Azonban megválaszolatlan kérdések még maradtak, pl. hogy ki olvasta el először, azaz ki fejtette meg a pálcákat... Megtekintés

 

Kőbe vésett bocsánatkérés

Ha Balatonszepezd-fürdőnél leszállunk a vonatról, s néhány száz métert előrehaladunk Révfülöp felé, az út jobb oldalán egy rovásírásos kőszerhez jutunk. A kőszert Sebestyén Gyula néprajzkutató és irodalomtörténész állítatta... Megtekintés
 

Rovásírás és runaírás

Az elmúlt néhány évben a Kárpát-medence felé fordult több nemzetközi tekintélynek örvendő, őstörténettel foglalkozó külföldi kutató figyelme. Az angol lord Colin Renfrew régész és Richard Rudgley őskortörténész, az amerikai Grover S. Krantz antropológus, az olasz Mario Alinei nyelvész egyre nagyobb jelentőséget tulajdonít hazánk területének és elődeinknek bolygónk szellemi és anyagi értékeinek létrehozásában.... Megtekintés
 

A rovásírás feltételezett jelképrendszere

Szkíta, hun és még korábban élt őseink betűinek jelképként való értelmezésével Varga Géza íráskutató Bronzkori magyar írásbeliség című kötetében találkoztam először (Budapest 1993). Ez a fontos mű hívta fel a figyelmemet arra, hogy a jelek mögött bizonyos ősképek és elvont fogalmak rejlenek... Megtekintés
 

A rovásírás szó védelmében

A jó szándékú ember, ha bemegy az embertársai által felépített rendes, tiszta házba, először kopog, köszön, sőt ajándékot tesz az asztalra. Bizony megkérdőjelezhető a jó szándéka annak, aki köszönés helyett berúgja az ajtót, rombolni kezdi a fáradságos munkával, sok apró téglából felépített házat... Megtekintés
 

Az újpesti rovásírásos emlék

Rovásírásos emlékeink száma örvendetesen gyarapodott két darabbal. Egy kedves barátunk hívta fel a figyelmemet az Újpesti Helytörténeti Gyűjteményben (Új neve: Neogrády László Helytörténeti Gyűjtemény, 1043 Bp. Berda József u. 48.) látható két rovásírásos cseréptöredékre. Köszönet Szöllősy Marianne helytörténetigyűjtemény-vezetőnek, aki... Megtekintés
 

Tatárlaka titka - tanulmány

Friedrich Klára 2004-ben készült Tatárlaka titka c. tanulmánya sok ábrával a tatárlakai leletegyüttesről a www.magtudin.org honlapon olvasható.

Friedrich Klára: Tatárlaka titka - 1. rész
Friedrich Klára: Tatárlaka titka - 2. rész
Friedrich Klára: Tatárlaka titka - 3. rész
Friedrich Klára: Tatárlaka titka - 4. rész
Friedrich Klára: Tatárlaka titka - 5. rész
Friedrich Klára: Tatárlaka titka - 6. rész
Friedrich Klára: Tatárlaka titka - 7. rész
Friedrich Klára: Tatárlaka titka - 8. rész


Nyitólap
ROVÁSÍRÁS
Oldal tetejére